Understanding Vector Spaces in Linear Algebra
1. Basics: Set Theory and Boolean Operations
A set is a collection of distinct objects, represented by S. Common set operations include:
- Union (\(A \cup B\))
- Intersection (\(A \cap B\))
- Complement (\(A'\))
2. Groups
A group \( (G, *) \) is a set \( G \) with an operation * that satisfies:
- Closure: \( \forall a, b \in G, a * b \in G \)
- Associativity: \( \forall a, b, c \in G, (a * b) * c = a * (b * c) \)
- Identity: There exists an element \( e \in G \) such that \( e * a = a * e = a \) for all \( a \in G \)
- Inverse: For each \( a \in G \), there exists \( b \in G \) such that \( a * b = e \)
3. Rings
A ring \( (R, +, \cdot) \) is a set equipped with two operations (addition and multiplication) satisfying:
- Closure under addition and multiplication
- Additive associativity
- Multiplicative associativity
- Additive identity (0)
- Distributive properties of multiplication over addition
4. Fields and Their Properties
A field \( F \) is a set with two operations (addition and multiplication) that satisfies all ring properties and:
- Multiplicative identity (1)
- Multiplicative inverses: For each \( a \neq 0 \) in \( F \), there exists \( a^{-1} \in F \) such that \( a \cdot a^{-1} = 1 \)
- Example fields: \( \mathbb{R}, \mathbb{Q}, \mathbb{C} \)
Our syllabus starts here: with the concept of a *vector space*. While Groups, Rings, and Fields belong to abstract algebra, understanding Fields is essential for defining vector spaces. A vector space uses elements from a Field, allowing us to perform addition, subtraction, multiplication, and division (except by zero) with predictable behavior. By combining elements from a Field with operations like vector addition and scalar multiplication, we create the structure known as a *vector space*, which forms the foundation of linear algebra. This is where our exploration of linear transformations, solutions to linear equations, and higher-dimensional spaces begins.
👉5. Vector Spaces and Field Interaction
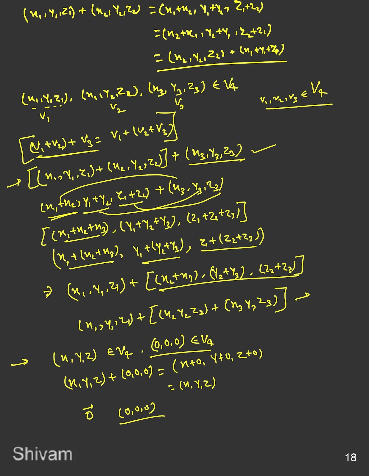
A vector space \( V \) over a field \( F \) consists of elements called vectors that can be scaled by elements from \( F \). The axioms for a vector space include:
Vector Space Axioms
A vector space \( V \) over a field \( F \) must satisfy the following eight axioms:
- Closure under Addition: For all \( u, v \in V \), the sum \( u + v \) is also in \( V \).
- Closure under Scalar Multiplication: For all \( c \in F \) and \( v \in V \), the product \( c \cdot v \) is also in \( V \).
- Associativity of Vector Addition: For all \( u, v, w \in V \), \( (u + v) + w = u + (v + w) \).
- Commutativity of Vector Addition: For all \( u, v \in V \), \( u + v = v + u \).
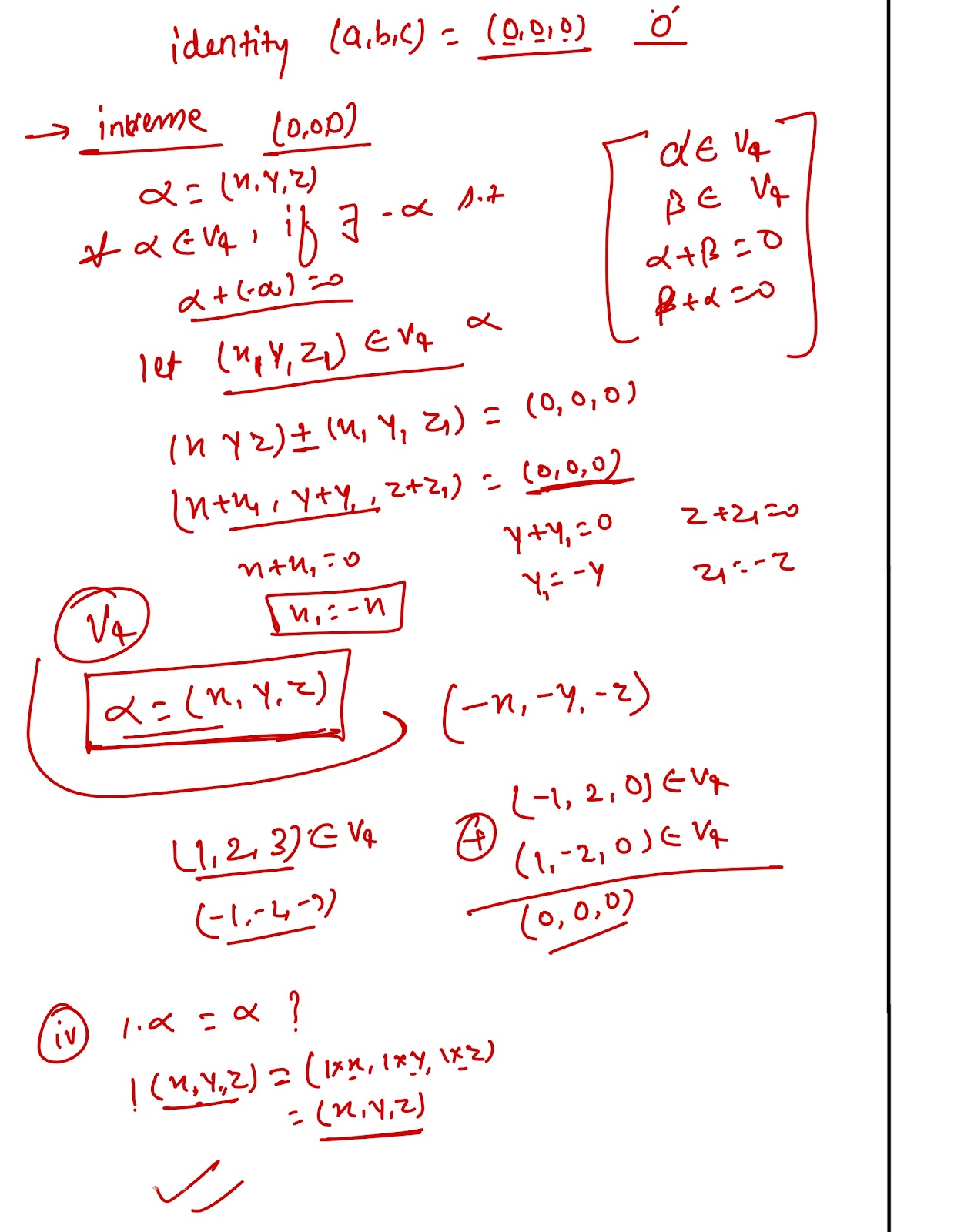
- Existence of Additive Identity: There exists an element \( 0 \in V \) such that \( v + 0 = v \) for all \( v \in V \).
- Existence of Additive Inverses: For each \( v \in V \), there exists an element \( -v \in V \) such that \( v + (-v) = 0 \).
- Distributive Property of Scalar Multiplication with Respect to Vector Addition: For all \( c \in F \) and \( u, v \in V \), \( c \cdot (u + v) = c \cdot u + c \cdot v \).
- Distributive Property of Scalar Multiplication with Respect to Field Addition: For all \( c, d \in F \) and \( v \in V \), \( (c + d) \cdot v = c \cdot v + d \cdot v \).
- Associativity of Scalar Multiplication: For all \( a, b \in F \) and \( v \in V \), \( (a \cdot b) \cdot v = a \cdot (b \cdot v) \).
- Multiplicative Identity: For all \( v \in V \), \( 1 \cdot v = v \), where \( 1 \) is the multiplicative identity in \( F \).
6. Examples of Vector Spaces: \( \mathbb{R}^2 \) and \( \mathbb{R}^3 \)
In \( \mathbb{R}^2 \) and \( \mathbb{R}^3 \), vectors are ordered pairs or triples, respectively:
- In \( \mathbb{R}^2 \): \( \mathbf{v} = \begin{pmatrix} x \\ y \end{pmatrix} \)
- In \( \mathbb{R}^3 \): \( \mathbf{v} = \begin{pmatrix} x \\ y \\ z \end{pmatrix} \)
👉7. Linear Dependence and Independence
Vectors are linearly dependent if one can be written as a combination of others; they are independent otherwise.
Linearly Independent vs Dependent Vectors
1. All Scalars Zero (Trivial Solution)
Independent Vectors: If the only solution to the linear combination of vectors being equal to the zero vector is when all the scalars are zero, then the vectors are linearly independent.
Dependent Vectors: If there exists a non-trivial solution where some scalars (other than zero) result in the linear combination being the zero vector, the vectors are linearly dependent.
Example: Vectors v1 = (1, 2) and v2 = (2, 4) are dependent because v2 is a scalar multiple of v1 (i.e., v2 = 2 × v1).
2. At Least One Scalar is Non-Zero (Dependent)
Dependent Vectors: If there is a way to express one vector as a linear combination of others (where at least one scalar is non-zero), the vectors are linearly dependent.
Independent Vectors: If no vector in the set can be written as a linear combination of the others, all the scalars in the linear combination must be zero for the result to be the zero vector.
Example: Vectors v1 = (1, 2) and v2 = (2, 4) are dependent because v2 = 2 × v1.
3. Matrix Rank is Less than the Number of Vectors (Rank Method)
Dependent Vectors: If you create a matrix using the given vectors as columns (or rows) and the rank of this matrix is less than the number of vectors, the vectors are linearly dependent.
Independent Vectors: If the rank of the matrix is equal to the number of vectors, the vectors are linearly independent.
Example: For vectors v1 = (1, 2) and v2 = (2, 4), the matrix formed by placing these vectors as columns is:
A =
[1 2]
[2 4]
The rank of the matrix is 1 (less than the number of vectors, which is 2), indicating the vectors are dependent.
4. Determinant of the Matrix (For Square Matrices)
Dependent Vectors: If you form a square matrix from the vectors and the determinant of that matrix is zero, the vectors are linearly dependent.
Independent Vectors: If the determinant of the matrix is non-zero, the vectors are linearly independent.
Example: For vectors v1 = (1, 2) and v2 = (2, 4), the determinant of the matrix:
A =
[1 2]
[2 4]
is det(A) = (1 × 4) - (2 × 2) = 0, indicating the vectors are dependent.
5. Geometrical Interpretation
Independent Vectors: If the vectors span a space that has the same dimension as the number of vectors, they are linearly independent. In a 2D plane, two independent vectors will form a non-zero area of the parallelogram they define.
Dependent Vectors: If the vectors lie along the same line or in the same plane (when in 3D), they are dependent. In this case, no new dimensions are added by the vectors.
Example: Two vectors in 2D that are not parallel (not scalar multiples) are independent. Two vectors in 3D that lie on the same plane or line are dependent.
👉Subspaces and Their Axioms
A subspace is a subset of a vector space that is itself a vector space, with the same addition and scalar multiplication operations. For a subset \( W \subseteq V \) to be a subspace of the vector space \( V \), it must satisfy the following conditions:
Subspace Axioms
- Non-emptiness: \( W \) must contain the zero vector \( 0 \) from \( V \). This ensures that \( W \) is non-empty and includes an additive identity.
- Closure under Addition: For any vectors \( u, v \in W \), their sum \( u + v \) must also be in \( W \). This ensures that vector addition remains within the subset.
- Closure under Scalar Multiplication: For any vector \( v \in W \) and any scalar \( c \) from the field \( F \) (associated with \( V \)), the product \( c \cdot v \) must also be in \( W \). This ensures that scalar multiplication keeps the vector in the subset.
Why These Axioms?
If a subset \( W \) meets these three conditions, it inherits all the other properties of a vector space automatically. These three conditions make sure that \( W \) is closed under the vector space operations, which allows it to be a valid subspace.
Example of a Subspace
In \( \mathbb{R}^3 \), the space of all 3-dimensional vectors, the set of all vectors lying on a plane through the origin is a subspace of \( \mathbb{R}^3 \). This set meets all three subspace conditions: it includes the zero vector, is closed under addition, and is closed under scalar multiplication.
2D Vector Space with a Subspace
In this 2D vector space, the red line through the origin represents a 1D subspace.
]






































