📚Maths 2 Week 1 Summary
Vectors
A vector is a quantity that has both magnitude and direction. It is often represented as an arrow.
Vector Addition
Vector addition is the operation of adding two or more vectors together into a vector sum.
Scalar Multiplication
Scalar multiplication involves multiplying a vector by a scalar (a single number).
Parallelogram Law
The parallelogram law states that the sum of the squares of the lengths of the sides of a parallelogram equals the sum of the squares of the lengths of the diagonals.
Triangular Law
The triangular law of vector addition states that if two vectors are represented as two sides of a triangle, then their sum is represented by the third side of the triangle taken in the opposite direction.
Matrices
A matrix is a rectangular array of numbers arranged in rows and columns.
Square Matrix
A square matrix has the same number of rows and columns.
Diagonal Matrix
A diagonal matrix has non-zero elements only on the diagonal.
Scalar Matrix
A scalar matrix is a diagonal matrix where all the diagonal elements are equal.
Identity Matrix
An identity matrix is a square matrix with ones on the diagonal and zeros elsewhere.
Addition of Two Matrices
To add two matrices, add the corresponding elements.
Matrix Multiplication
Matrix multiplication involves multiplying the rows of the first matrix by the columns of the second matrix.
Matrix Multiplication Calculator
(Please use landscape mode)
Result:
System of Linear Equations
A system of linear equations is a collection of one or more linear equations involving the same set of variables.
Matrix Representation of Linear Equations
Linear equations can be represented in matrix form as Ax = B.
Solution of Linear Equations
There are three possible solutions for a system of linear equations: unique solution, no solution, and infinitely many solutions.
Solve System of Linear Equations
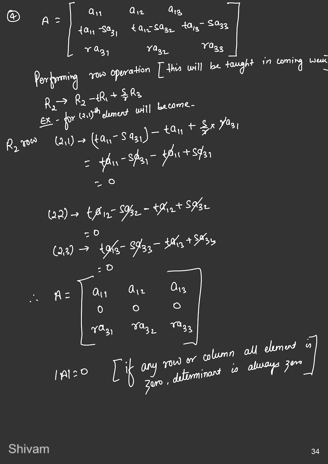
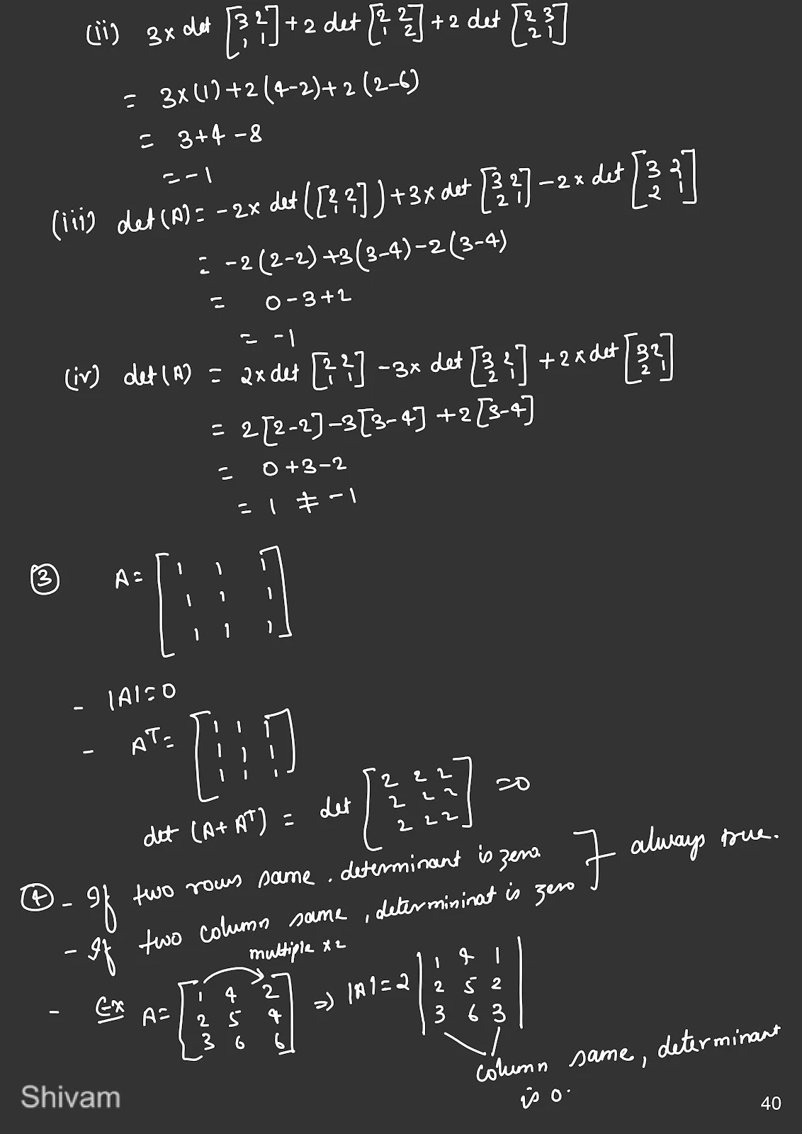
Determinant of a Matrix
The determinant is a scalar value that can be computed from the elements of a square matrix.
Finding Determinant of a 3x3 Matrix
To find the determinant of a 3x3 matrix, use the formula:
Determinant Calculator
2x2 Matrix
3x3 Matrix
4x4 Matrix
Minor and Cofactor
The minor of an element is the determinant of the matrix that remains after removing the row and column of that element. The cofactor is the minor with a sign change based on its position.
Upper Triangular Matrix
An upper triangular matrix has all zeros below the main diagonal.
Lower Triangular Matrix
A lower triangular matrix has all zeros above the main diagonal.
Transpose of a Matrix
The transpose of a matrix is obtained by swapping rows with columns.
















































