📚
Exponential and Logarithmic Functions
Exponential Functions
An exponential function is a mathematical function of the form \( f(x) = a \cdot b^x \), where:
- \( a \) is a constant,
- \( b \) is the base of the exponential, and
- \( x \) is the exponent.
Properties of Exponential Functions:
- Domain: The domain of an exponential function is all real numbers, \( (-\infty, \infty) \).
- Range: The range is \( (0, \infty) \) for \( b > 1 \) and \( (-\infty, 0) \) for \( 0 < b < 1 \).
- Codomain: The codomain is typically all real numbers, but the actual range depends on the function's specific form.
- Growth and Decay: If \( b > 1 \), the function represents exponential growth. If \( 0 < b < 1 \), it represents exponential decay.
Example:
Population Growth: If a population of bacteria doubles every hour, the population at time \( t \) hours can be modeled by \( P(t) = P_0 \cdot 2^t \), where \( P_0 \) is the initial population.
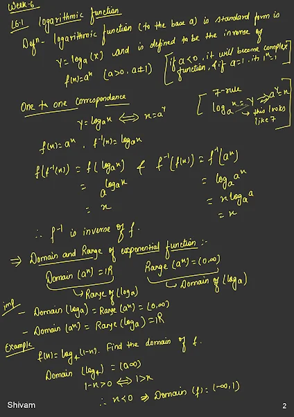
Logarithmic Functions
A logarithmic function is the inverse of an exponential function and is of the form \( f(x) = \log_b(x) \), where:
- \( b \) is the base of the logarithm,
- \( x \) is the argument of the logarithm.
Properties of Logarithmic Functions:
- Domain: The domain is \( (0, \infty) \).
- Range: The range is all real numbers, \( (-\infty, \infty) \).
- Codomain: The codomain is typically all real numbers.
- Inverse Relationship: The logarithmic function \( \log_b(x) \) is the inverse of the exponential function \( b^x \).
Example:
pH Levels: The pH level of a solution is calculated using the logarithm: \( \text{pH} = -\log_{10}[\text{H}^+] \), where \( [\text{H}^+] \) is the concentration of hydrogen ions.
Inverse Functions
The inverse of an exponential function \( y = b^x \) is a logarithmic function \( x = \log_b(y) \), and vice versa.
Example:
Solving for Time: If you have an exponential growth model \( P(t) = P_0 \cdot e^{kt} \) and you want to solve for \( t \), you would use the natural logarithm: \( t = \frac{\ln(P/P_0)}{k} \).
Domain and Range
Exponential Functions:
- Domain: All real numbers, \( (-\infty, \infty) \).
- Range: \( (0, \infty) \) for \( b > 1 \) and \( (-\infty, 0) \) for \( 0 < b < 1 \).
Logarithmic Functions:
- Domain: \( (0, \infty) \).
- Range: All real numbers, \( (-\infty, \infty) \).
Codomain
The codomain of both exponential and logarithmic functions is typically all real numbers, but the actual range depends on the specific function.
Logarithmic Formulas
- Product Rule: \( \log_b(xy) = \log_b(x) + \log_b(y) \)
- Quotient Rule: \( \log_b\left(\frac{x}{y}\right) = \log_b(x) - \log_b(y) \)
- Power Rule: \( \log_b(x^y) = y \cdot \log_b(x) \)
- Change of Base Rule: \( \log_b(x) = \frac{\log_k(x)}{\log_k(b)} \)
Special Explanation of Change of Base Rule:
The change of base rule allows you to convert a logarithm of any base \( b \) to a logarithm of another base \( k \). This is particularly useful when you need to calculate logarithms on a calculator that only supports base 10 or base \( e \) (natural logarithm).
Examples of Logarithmic Functions in Daily Life
- Earthquake Magnitude: The Richter scale measures the magnitude of earthquakes using a logarithmic scale. An earthquake that measures 7 on the Richter scale is ten times more powerful than one that measures 6.
- Sound Intensity: Decibels (dB) measure sound intensity logarithmically. A sound that is 10 dB louder is perceived as twice as loud.
- Information Theory: Logarithms are used to measure information entropy, which quantifies the amount of uncertainty or information content.






















































